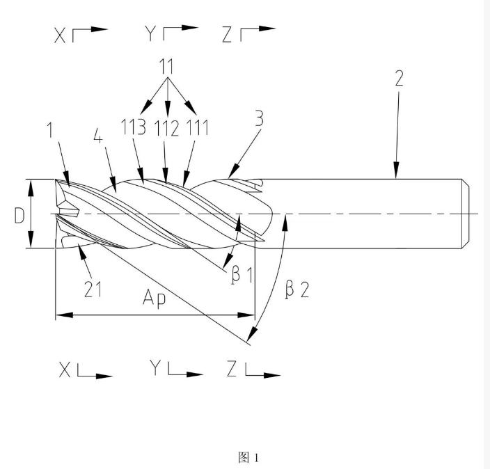
1. 螺旋角的定义与本质
螺旋角是螺旋切削刃展开成直线后,与刀具轴线之间的夹角(立铣刀、圆柱铣刀的螺旋角等于刃倾角。其本质是刃倾角在旋转刀具上的体现,决定了切削刃的空间走向与切削过程的力学特性。

几何定义
:对于圆柱铣刀/立铣刀,螺旋角是螺旋线切线与轴线的夹角;对于钻头,是螺旋槽最外缘螺旋线切线与轴线的夹角(钻头外缘螺旋角最大,越靠近钻心越小)。
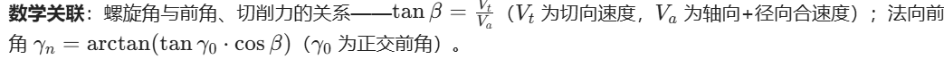
数学关联
2. 螺旋角的核心作用

螺旋角是刀具最关键的角度之一,直接影响切削平稳性、排屑、切削力分布、刃口强度: | |
|---|
| 切削平稳性 | 螺旋角使切削刃逐渐切入/切出工件(而非直刃的“同时切入”),减少冲击与振动;增大螺旋角→同时工作齿数增多→切削过程更平稳(如螺旋角30°的铣刀比直刃振动小80%)。 |
| 排屑性能 | 螺旋槽引导切屑沿螺旋线排出,增大螺旋角→切屑排出更顺畅(避免堵塞);但螺旋角过大→排屑路程变长→阻力增大(如深盲孔加工宜选小螺旋角)。 |
| 切削力分布 | 螺旋角将切削力分解为径向分力与轴向分力( : - 螺旋角增大→ 减小(径向刚性差时更稳定)、增大(需刚性好的刀柄); - 小螺旋角→ 大(易振动)、小(防刀具脱落)。 |
| 刃口强度与锋利性 | 螺旋角增大→实际前角增大(刃口更锋利)、切削刃工作长度延长→单位长度负荷减小→刀具寿命延长;但螺旋角过大→刃口强度减弱(易崩刃/卷刃)、散热变差。 |
| 表面质量 | 螺旋角使切削刃逐渐切入→减少表面冷硬层与振纹;大螺旋角→表面粗糙度更低(如螺旋角45°的铣刀比30°加工的表面Ra值小20%~30%)。 |
3. 螺旋角的分类与常规数值

根据螺旋角的大小,可分为小、标准、大螺旋角,不同刀具类型的常规范围如下:3.1 按数值分类
| | |
|---|
| | 刃口强度高、径向力大;适合槽铣、铸铁/硬材料、薄壁件(如15°螺旋角用于键槽铣刀,20°用于铸铁铣刀)。 |
| | 切削力均衡、排屑顺畅;通用加工首选(如30°用于普通钢件铣刀,45°用于“强力螺旋立铣刀”)。 |
| | 刃口锋利、轴向力大;适合难加工材料(钛合金、高温合金)、高硬度材料(HRC>50)、精加工(如60°用于淬硬钢铣刀)。 |
3.2 不同刀具的常规螺旋角
4. 螺旋角的选择原则

选择螺旋角需平衡平稳性、排屑、强度、切削力,核心依据以下因素:4.1 按加工材料选择
:切屑呈带状,需大螺旋角改善排屑→选30°~45°(如铝合金选40°~50°,不锈钢选30°~40°)。:切屑呈崩碎状,需小螺旋角增强刃口→选10°~30°(如铸铁选15°~25°)。:切削力大、易粘刀,需大螺旋角减小切削力→选45°~60°(如钛合金选50°~60°)。:需锋利刃口与长工作长度→选45°~60°(如HRC50~60选50°,HRC>60选60°)。
4.2 按加工性质选择
:切削力大、冲击强→选小螺旋角(10°~30°)增强刃口;若机床刚性好,可选标准螺旋角(30°~45°)提高效率。:需表面质量好→选大螺旋角(30°~60°)减少振动与冷硬层。:排屑困难→选小螺旋角(10°~25°)缩短排屑路程(如键槽铣刀选15°)。:径向力易致变形→选小螺旋角(10°~30°)减小径向力。
4.3 按工艺系统刚性选择
:可选大螺旋角(45°~60°)提高效率与表面质量。:选小螺旋角(10°~30°)减小径向力与振动;若用大螺旋角,需配高刚性刀柄(如液压刀柄)防止刀具脱落。
4.4 按刀具类型选择
:通用选30°~45°,难加工材料选45°~60°,槽铣选15°~25°。:普通材料选18°~30°,有色金属选35°~40°,高强度钢选10°~15°。:铸铁选7°~8°,钢件选12°~20°,铝合金选35°~45°。
5. 螺旋角的特殊设计
为解决常规螺旋角的局限,衍生出变螺旋角、双螺旋角等特殊设计:
5.1 变螺旋角(不等螺旋角)
定义
:刀具不同刃口或同一刃口不同位置的螺旋角不同(如前刃30°、后刃45°)。
作用
:破坏切削振动的谐振频率→显著减振(如薄壁件加工用变螺旋角铣刀,振动降低50%以上);改善排屑均匀性。
应用
:薄壁零件、长悬伸加工、高精度模具铣削(如航空零件的五轴加工)。
5.2 双螺旋角
定义
:端刃与周刃采用不同螺旋角(如端刃20°、周刃40°)。
作用
:兼顾端刃强度(小螺旋角)与周刃排屑(大螺旋角)→适合深槽加工、型腔铣削(如发动机缸体的深槽铣刀)。
5.3 反螺旋角(左旋/右旋)
定义
:螺旋方向与切削方向相反(如右切铣刀用左旋螺旋)。
作用
:改变切屑流向→右旋螺旋切屑向上(适合通孔),左旋螺旋切屑向下(适合盲孔,避免切屑堵塞)。

6. 螺旋角的合理数值总结
7. 总结螺旋角的本质是**“切削平稳性与刃口强度的平衡器”**:大螺旋角→刃口锋利、排屑好,适合难加工材料/精加工;选择时需结合材料、加工性质、刚性、刀具类型,通过变螺旋角、双螺旋角等特殊设计优化性能。螺旋角的合理应用可显著提升加工效率、表面质量与刀具寿命,是现代切削加工的核心参数之一。